商品属性
加工定制是
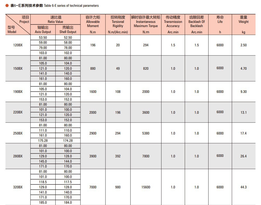
货号220BX-RVE-81
类别行星减速机
齿轮类型针轮减速机
安装形式立式
布局形式摆线式
齿面硬度硬齿面
用途减速机
品牌新立盈
型号220BX-RVE-81
输入转速3000转
额定功率2-3KW
输出转速范围25-100
许用扭矩2000N
使用范围机器人第六轴
级数多级
减速比81
是否跨境出口专供货源否






摆线针轮减速机是一种应用差动式行星传动原理,采用摆线针齿啮合的新颖传动装置,
是工业机器人设备的核心部件在机床设备、医疗器械、雷达、天线等要求空间小、速比大的 精密传动方面有广泛应。
产品构造:减速器由输出法兰、支撑法兰、摆线齿轮、曲柄轴、行星齿轮、针轮、输入齿轮(选件)、主轴承、圆锥滚子轴承、滚针轴承连保持架、油封等组成。


















官方公众号
官方小程序